Fisarmonica: un capolavoro di ingegneria (2 ͣ parte)

Le leggi fisiche che regolano il funzionamento del nostro strumento

2.645

Fatta questa premessa, analizziamo uno dei componenti più importanti e interessanti del nostro strumento: le voci (armoniche). Questo argomento fu trattato, a suo tempo, dal sottoscritto anche sul gruppo Facebook “Fisarmonica classica”; qui, lo riprendiamo e ampliamo e, naturalmente, nel Fascicolo 3 di prossima pubblicazione, sarà esaminato in maniera completa e approfondita.

 

Immagine di una voce di fisarmonica (ancia senza contrappeso)LE VOCI (ARMONICHE) DELLA FISARMONICA – cenni – In generale, uno strumento musicale è, dal punto di vista fisico, un sistema atto a generare onde sonore che s’irradiano nell’ambiente; nel caso di uno strumento musicale di tipo meccanico (classico), questi è un sistema atto a trasformare energia meccanica in energia sonora che s’irradia nell’ambiente circostante.

Lo strumento è costituito, solitamente, da due/tre parti fondamentali:

1 – un elemento vibrante e/o oscillatore rappresentante la fonte primaria delle oscillazioni che si propagano nel mezzo elastico che circonda lo strumento. L’oscillatore, che fa parte dello strumento, è costituito – nel caso degli strumenti tradizionali meccanici (classici) – da: corde, lamine, membrane, lastre, aria, ecc.;
2 – un risuonatore con la funzione di selezionare alcune frequenze e dare una forma definita all’onda sonora. Ad esempio, nei fiati la canna è accordabile con funzione di intonazione tramite i fori, mentre negli archi l’intonazione avviene agendo direttamente sull’elemento vibrante (le corde) e il risuonatore è il corpo stesso dello strumento;
3 – uno o più adattatori di impedenza che favoriscono la trasmissione dell’energia meccanica tra le differenti parti dello strumento e, infine, tra lo strumento e l’aria circostante.

I tre elementi sopra indicati sono funzionali e non necessariamente corrispondono ad elementi strutturali distinti in ciascuno strumento. A volte, sono raggruppati in uno stesso elemento; altre volte, l’adattatore di impedenza manca o non è necessario, oppure servono diversi adattatori interni in aggiunta a quello finale con l’aria.

 

IL RUOLO DELL’ELEMENTO VIBRANTE – Ogni strumento musicale di tipo tradizionale genera vibrazioni meccaniche grazie a un elemento in grado di oscillare attorno a una posizione di equilibrio quando viene eccitato dallo strumentista. L’elemento vibrante può essere:

·    una corda (di metallo, budello o materiale sintetico) nei cordofoni (archi, pianoforte…) che può essere posta in vibrazione strofinandola con un archetto, percuotendola, pizzicandola, ecc.;
·    una lamina (semplice o doppia, di metallo, di canna, di materiale sintetico) negli aerofoni ad ancia (fisarmonica, clarinetto…);
·    le labbra dello strumentista, per lo più negli ottoni;
·    direttamente l’aria come nel flauto o nell’organo a canne;
·    una membrana (di budello o materiale sintetico) come nelle percussioni a membrana;
·    una lastra di legno o metallo come nelle percussioni idiofone;
·    le corde vocali nella voce umana.

Gli strumenti devono poter eseguire note differenti, il che significa che ciascuno di essi deve possedere uno o più meccanismi di selezione della frequenza dell’oscillazione prodotta. Questi meccanismi, in realtà, sono molto vari. Facciamo alcuni esempi:

1.  negli ottoni, l’altezza dei vari suoni viene selezionata dall’esecutore dato che egli può regolare sia la tensione delle labbra, sia la pressione di emissione del fiato;

2. negli strumenti a corda, la frequenza è selezionata agendo direttamente e/o indirettamente sulla lunghezza della corda vibrante. Nel pianoforte, ad esempio, si dispone di un ampio insieme di corde di differente lunghezza e pre-accordate, che vengono messe in vibrazione mediante tasti collegati a opportuni leveraggi, mentre negli archi – che hanno poche corde pre-accordate (generalmente quattro) – il musicista varia direttamente la loro lunghezza durante l’esecuzione. Nella chitarra, mandolino, ecc. – strumenti che dispongono anch’essi di poche corde pre-accordate (generalmente da 6 a 10), l’intonazione avviene sì come negli archi “accorciando” le corde durante l’esecuzione, ma la presenza di barre (capotasti) predisposte sulla tastiera (manico), fa sì che l’esecutore suoni solo note… intonate;

3.  Nei fiati ad ancia (oboe, clarinetto…), la sorgente del suono è, generalmente, pochissimo variabile in frequenza e la vera selezione avviene direttamente nel corpo risonante dello strumento, variandone la lunghezza efficace, cioè aprendo o chiudendo appositi fori. Poiché la vibrazione della colonna d’aria in una canna è analoga a quella di una corda, l’intonazione può essere paragonata a quella degli archi, ma non è identica, in quanto i fori sulla canna si trovano a distanze prestabilite dal costruttore così come avviene ad esempio per le barre della chitarra sulla tastiera;

4.  Nell’emissione della voce, la frequenza della nota prodotta è pari alla frequenza di vibrazione delle corde vocali che viene regolata variandone la tensione mediante appositi muscoli;

5.  Nella fisarmonica, la sorgente del suono è costituita da alcune ance libere ad interruzione, la frequenza di vibrazione delle quali – una volta pre-accordate – è pochissimo variabile. La selezione della frequenza dei vari suoni avviene, come nel pianoforte, grazie ad un insieme di ance pre-accordate che sono poste in vibrazione da una corrente d’aria prodotta dal mantice mediante l’apertura/chiusura di apposite valvole, comandate tramite leve da tasti e/o bottoni posizionati sulle due tastiere dello strumento;

6.  Per le percussioni il discorso è anche più variegato in quanto esistono percussioni non accordabili, cioè che producono suoni di altezza indefinita.

In definitiva, quindi, l’altezza/frequenza del suono prodotto dipende sia dalle caratteristiche geometriche che fisiche dell’elemento posto in vibrazione.

Immagine esplosa della voce di fisarmonicaCome sappiamo, la voce (armonica) della fisarmonica, esaminato il generatore del suono, è composta – in generale – da due ance fissate sulle facce opposte di un piastrino/telaietto e posizionate sfalsate, l’una rispetto all’altra, da un telaietto/piastrino su cui sono praticate due asole in corrispondenza delle quali sono montate le ance stesse, e da due ribattini. Eventualmente, a seconda della grandezza della voce, possono essere presenti due valvole (pelli e/o ventilli), due contro-pelli e, infine, due contrappesi fissati alle ance tramite un processo di incollaggio e/o brasatura. Una voce può essere, quindi, costituita da un minimo di cinque particolari sino ad un massimo di undici. I materiali impiegati per la costruzione della voce armonica sono: l’acciaio armonico per le ance, la lega di alluminio (Duralluminio/Dural/Avional) per il piastrino/telaietto, l’acciaio “dolce” per i ribattini, la pelle e/o materiale sintetico per le valvole e, infine, ancora l’acciaio armonico per le contro-pelli. Il collegamento tra le ance ed il piastrino/telaietto è realizzato tramite due ribattini e/o in alcuni casi per mezzo di viti. Di seguito, ci proponiamo di determinare la prima frequenza propria (frequenza fondamentale) di oscillazione delle ance e, a tal proposito, faremo la seguente ipotesi generale:

 

CALCOLO DELLE FREQUENZE PROPRIE (Trasversali/Flessionali) DI VIBRAZIONE DELLE ANCE

IPOTESI di CALCOLO delle Ance Libere: ancia assimilabile a una trave a mensola di sezione trasversale costante dotata di un asse di simmetria, costituita da materiale continuo, omogeneo, isotropo e soggetta a variazioni di temperatura contenute in qualche decina di gradi centigradi.

Considerazioni sulle ipotesi di calcolo:

1 – Trave: è un elemento strutturale in cui una delle dimensioni è molto maggiore delle altre due (per esempio, la lunghezza) e atto a trasferire gli sforzi prevalentemente in direzione parallela al proprio asse e, cioè, perpendicolarmente alla sezione trasversale;
2 – Trave a mensola: trave incastrata/vincolata a un estremo e libera all’altro. Per una siffatta trave ogni moto rigido nello spazio è impedito dall’incastro che ne inibisce – attraverso sei vincoli – i sei gradi di libertà: tre traslazioni e tre rotazioni;
3 – Sezione trasversale costante: in pratica si ha a che fare con un solido in cui la direttrice, cioè la curva che racchiude l’area della sezione trasversale, ha una forma qualsiasi purché dotata di un asse di simmetria;
4 – Corpo continuo: corpo nel quale la materia è distribuita con continuità nello spazio/volume occupato dal corpo stesso e che riempie tale spazio/volume completamente;
5 – Materiale omogeneo: materiale che presenta le stesse proprietà – fisiche, chimiche, meccaniche, ecc. in tutti i punti (per esempio, densità);
6 – Materiale isotropo: materiale che presenta le stesse proprietà fisiche, meccaniche, ecc. in tutte le direzioni (per esempio, modulo di elasticità);
7 – Variazioni di temperatura contenute: variazioni di temperatura contenute in qualche decina di gradi in più o in meno rispetto ad una temperatura di riferimento (per esempio, temperatura ambiente). In tal modo, la densità media (massa per unità di volume), le variazioni di lunghezza e le variazioni del modulo di elasticità, ecc. possono essere ritenute trascurabili ai fini del calcolo.

– Coefficiente dilatazione lineare dell’acciaio 1,2*10⁻⁵ (1/°C), superficiale il doppio, volumetrico il triplo.

– Coefficiente di dilatazione lineare dell’alluminio è di circa 2,38*10⁻⁵ (1/°C)

Immagine di una voce di fisarmonica (ancia con contrappeso)Prima di proseguire, è necessario fornire alcune informazioni di carattere tecnico, riguardanti i materiali con i quali vengono costruite le ance, i piastrini, ecc.

1 – Acciaio Armonico/Acciaio al Silicio: si tratta di una lega ferro – carbonio ad alto tenore di carbonio 0,8 – 0,9% (in peso) contenente, come altro elemento principale di lega, il silicio in percentuale variabile dallo 0,2 allo 0,4% ed, eventualmente, come ulteriore elemento di lega, il manganese in percentuale variabile tra lo 0,15 e lo 0,2%. È un acciaio caratterizzato da un elevato limite di proporzionalità, nonché elastico, e dal carico di rottura (carico di rottura compreso tra 1.500 e 2.000 MPa – 150/200 kg/mm²). L’acciaio armonico è impiegato industrialmente prevalentemente nella realizzazione di fili utilizzati nella costruzione di funi di sollevamento e o cavi per ponti sospesi e/o strallati, corde per strumenti musicali, nonché nella costruzione di molle ed elementi elastici in generale. I fili, o i particolari in acciaio armonico – dopo opportune lavorazioni per deformazione plastica (trafilatura/laminazione) e opportuno trattamento termico detto PATENTAMENTO – possono raggiungere – come detto – valori del carico di rottura di 1.500/2.000 Mpa (150/200 Kg/mm²).

PATENTAMENTO – BONIFICA ISOTERMICA – TEMPRA BAINITICA: Trattamento termico cui vengono sottoposti fili/nastri di acciaio destinati alla costruzione di molle, funi metalliche, elementi elastici, ecc. Consiste in un riscaldamento a una temperatura di circa 900 ºC, seguito da un raffreddamento rapido in un bagno di piombo fuso sino a una temperatura compresa tra i 450 ºC e i 550 ºC, mantenimento a detta temperatura sino a ottenere la struttura metallurgica desiderata (perlite e/o bainite (fine)) e, infine, successivo raffreddamento, più o meno rapido, sino alla temperatura ambiente.
Tale trattamento, paragonabile a una bonifica isotermica, conferendo al trafilato/laminato una struttura perlitica/bainitica fine, dà grande duttilità e tenacità al filo/nastro così da renderlo adatto a subire trafilature/laminazioni successive. Il processo è, di solito, eseguito in modo automatico e continuo nella linea di trafilatura/laminatura.

2 – Lega di alluminio: lega costituta da alluminio in percentuale superiore al 90% ed altri elementi di lega come rame, magnesio, manganese, silicio, ecc.
·    DURALLUMINIO: DURAL oppure AVIONAL: lega di alluminio temprata della serie 2000 contenente rame (> 4%), magnesio e manganese. È una delle prime leghe di alluminio temprate messe a punto agli inizi del ‘900. Se contenente rame in percentuale > 7% presenta, dopo un invecchiamento di alcuni giorni a temperatura ambiente, ottime caratteristiche meccaniche e di resistenza alla corrosione.
·    PERALLUMAN: lega di alluminio della serie 5000 contenete magnesio. Largamente impiegata nell’industria meccanica, presenta buone caratteristiche meccaniche e di resistenza alla corrosione anche in ambiente marino;
·    ANTICORODAL: lega di alluminio della serie 6000 contenete magnesio, manganese e silicio. È caratterizzata da buona resistenza meccanica e da un’ottima resistenza alla corrosione.
·     ERGAL: lega di alluminio della serie 7000, contenete zinco. Risulta la lega di alluminio con le migliori caratteristiche meccaniche, ma non di resistenza alla corrosione per via della presenza di zinco. La resistenza alla corrosione viene, tuttavia, migliorata aggiungendo l’argento come ulteriore elemento di lega;

Le leghe di alluminio hanno carichi di rottura e snervamento paragonabili con quelli degli acciai da costruzione pur avendo un peso pari a circa un terzo degli stessi. È, tuttavia, importante ricordare che il loro modulo di elasticità risulta anch’esso circa un terzo di quello degli acciai ~ 70.000 MPa contro i 206.000 MPa degli acciai.

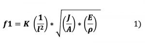
– Per comprendere perché è importante che le ANCE LIBERE (a interruzione) delle fisarmoniche siano costruite in acciaio armonico e/o comunque con materiali aventi determinate caratteristiche fisiche e meccaniche, è necessario considerare la formula che esprime la frequenza propria di vibrazione dell’ancia nella seguente forma (1):

Fisarmonica: un capolavoro di ingegneria (2° parte - immagine 1)In cui:
·     K = (2*π) *K1 Ku*Kv
·     K1 = 3,515625 è una costante che deriva dal calcolo della prima e delle successive frequenze di oscillazione (autovalore)
·     Ku è una costante che dipende dal sistema di misura utilizzato (MKS, Tecnico, ecc.)
·     Kv è una costante che dipende dal valore delle grandezze che compaiono nella formula: l, (E/ρ) e (J/A)

***   K2 = 22,00 = secondo autovalore
K3 = 61,70 = terzo autovalore
K4 = 120,25 = quarto autovalore

Nella formula 1) compaiono:

1 – grandezze geometrico/dimensionali che caratterizzano la forma e le dimensioni dell’ancia libera:
·    Momento di inerzia della sezione trasversale dell’ancia: J;
·    Area della sezione trasversale dell’ancia: A;
·    Lunghezza dell’ancia: l
2 – grandezze fisiche e meccaniche che caratterizzano il materiale con cui essa è costruita ed in particolare:
·    la densità media: ρ (rapporto tra massa e volume);
·    il modulo di elasticità longitudinale e/o di modulo di Young: E.

Da notare che nella formula precedente non compare la pressione che sollecita il dorso dell’ancia durante il suo funzionamento, quindi, la frequenza propria di oscillazione dell’ancia è indipendente dalla pressione che la sollecita e, perciò, dalla forza che l’esecutore esercita – attraverso la cassa sinistra dello strumento – sul mantice che è a sua volta l’organo che produce – tramite la sua apertura e chiusura – il flusso d’aria che mette in vibrazione le voci/ance. La variazione della forza esercitata dall’esecutore sulla cassa sinistra dello strumento ha, perciò, come sola e unica conseguenza, quella di ottenere suoni di differente intensità, ma, almeno teoricamente, di uguale frequenza. Vedremo in seguito, che, in realtà, la frequenza tende a variare leggermente per forze/pressioni estremamente “basse” e/o estremamente “elevate”, ma ciò è dovuto non tanto a ragioni legate alle caratteristiche costruttive/costitutive dell’ancia, quanto a ragioni di tipo “fluidodinamico”. Attraverso l’analisi della formula che esprime la prima frequenza propria di oscillazione dell’ancia libera, abbiamo ricavato quella che può considerarsi la caratteristica fondamentale delle ance libere e cioè l’indipendenza (teorica) della loro frequenza propria di oscillazione dalla pressione che le sollecita. Giacché l’ampiezza di oscillazione dell’ancia varia al variare della pressione che agisce sul dorso della stessa, e poiché l’intensità del suono dipende dall’ampiezza di oscillazione, ne consegue, in base al ragionamento appena fatto, che ampiezza e frequenza di oscillazione dell’ancia sono tra loro grandezze indipendenti dato che una – l’intensità – dipende dalla pressione e l’altra – la frequenza – no. In definitiva, possiamo affermare che la caratteristica fondamentale dell’ancia libera è l’indipendenza tra altezza e intensità del suono prodotto.

Senza questa importantissima caratteristica le ance libere non sarebbero utilizzabili nell’ambito degli strumenti musicali che le usano come generatori (oscillatori) del suono (armonium, fisarmoniche, concertine, ecc.) dato che l’esecutore non avrebbe la possibilità di variare dinamicamente il suono senza provocare una variazione di intonazione/accordatura dell’ancia/strumento. Se, per ipotesi, l’ancia libera ha una sezione trasversale rettangolare di larghezza b e spessore h costanti, il rapporto J/A che rappresenta il raggio o giratore d’inerzia della sezione (i) vale:

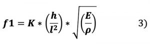
Fisarmonica: un capolavoro di ingegneria (2° parte - immagine 2)La formula precedente si può allora scrivere nella seguente forma (3):

Fisarmonica: un capolavoro di ingegneria (2° parte - immagine 3)Dalla formula precedente si vede che in un’ancia libera – a pianta e sezione rettangolari e di spessore costante – la frequenza propria di vibrazione è direttamente proporzionale allo spessore h dell’ancia e inversamente proporzionale al quadrato della sua lunghezza. In altre parole, a parità di lunghezza, se lo spessore raddoppia, la frequenza propria di vibrazione dell’ancia raddoppia e, viceversa, se a parità di spessore la lunghezza raddoppia, la frequenza si riduce di un quarto. Quindi, l’ancia libera è più “sensibile” alle variazioni di lunghezza rispetto a quelle di spessore dato che la legge di variazione delle frequenze, nel caso della lunghezza, è di tipo quadratico, mentre, nel caso dello spessore, è di tipo lineare. Dalla formula precedente possiamo notare che la frequenza propria di oscillazione dell’ancia NON dipende dalla larghezza b dell’ancia dato che il rapporto J/A (raggio giratore di inerzia) è costante e vale, come detto: h²/12. La conseguenza più immediata di quanto appena affermato è che ance aventi sezione e pianta rettangolari, a parità di lunghezza, spessore e materiale costitutivo, ma con differenti larghezze, hanno la stessa frequenza propria di oscillazione.

– La larghezza dell’ancia determina variazioni di timbro, ma non di frequenza. Ance larghe sono povere di armoniche, mentre ance strette ne sono più ricche.

In un’ancia libera, avente pianta e sezione trasversale rettangolari, lunghezza l e spessore h (costante), la frequenza propria di vibrazione è determinata, perciò, dalle due grandezze E e ρ che caratterizzano il materiale con cui essa è costruita. La prima – come detto – è una grandezza di tipo meccanico, mentre la seconda è una grandezza di tipo fisico; quest’ultima – essendo per ipotesi la temperatura costante – è anch’essa costante – pertanto la grandezza su cui dobbiamo concentrare la nostra attenzione è il modulo di elasticità normale e/o di Young: E.